Did you know there is a curve that can help you understand how things are likely to be average in general, with equal parts on each side? No? Well, let us introduce you to Excel normal distribution. Normal distribution in Excel helps in analyzing a certain variable. However, grasping the nitty-gritty of using normal Excel distribution can sometimes puzzle you. But don’t fret, as this guide will help you learn everything about normal distribution.
What is Normal Distribution in Excel?
You'll also come across many excel functions, allowing you to streamline complex data analysis even further. The NORMDIST Function falls under the category of Excel Statistical functions. For a given mean and standard deviation, it will yield the normal distribution. That is, for a specific set of parameters, it will compute the cumulative normal distribution function or the normal probability density function.
Take this example to better grasp Excel’s normal distribution: If you drive to work every day for 30 minutes on average, with a standard variation of 5 minutes. Considering a normal distribution for travel time, we can determine the percentage of time when the commute time ranges from 25 to 30 minutes.
The NORMDIST function is most commonly used for stock market analysis. The mean for return and the standard deviation for risk helps measure the amount of return and risk.
Syntax of Normal Distribution
Here is the syntax of Excel normal distribution between two numbers:

Arguments of Normal Distribution
Here are the arguments of the normal distribution function in Excel:
X: The value for which the normal distribution is calculated.
Mean: Distribution's average value, often known as the mean value.
Standard Deviation: Distribution’s standard deviation.
Cumulative: The logical value that specifies the distribution type to be used.
If the cumulative value is "true," the cumulative normal distribution function (CDF) is returned. If the cumulative value is "false," the probability density function (PDF) is returned by the function.
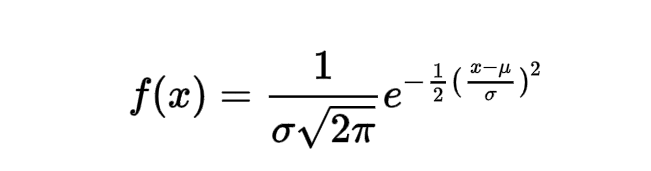
Formula of Normal Distribution
The formula of normal distribution is:

Here:
μ is the mean of the distribution
σ2 is the variance for the evaluation of the function
x is the independent variable for which you want to evaluate the function
Normal Distribution Example
Here is an example of Excel normal distribution to help you understand this function better.
Suppose you have the following data:
Value for which the normal distribution is needed: 52
The arithmetic mean of the distribution: 50
Distribution standard deviation: 2.5
If you want to determine the cumulative distribution function for the data mentioned above, use the following formula:

Now you will get the following result:

If you want to determine the probability mass function for the data above, use the following formula:

Now you will get the following result:

But following this normal distribution Excel example, you can determine the cumulative distribution function for any data.
How to Calculate Normal Distribution in Excel
Now that you have learned all the important things about normal distribution, let’s see how to calculate Excel's normal distribution. Here are the steps you need to follow to calculate normal distribution in Excel.
Step 1: Enter Your Dataset into an Excel Spreadsheet
To get started, enter your data into an Excel spreadsheet in an organized manner to facilitate the calculation of Excel's normal distribution. Excel is designed to read data in rows and columns, so arranging your data this way will make the process smoother and more efficient.
If you are working with a single data set, inputting each value vertically in a column can help you quickly identify the numbers, as columns tend to work better with Excel. If you are dealing with multiple data sets, it is best to place each one in its own column to avoid confusion and distinguish between them.

Step 2: Calculate the Mean of Your Dataset
You can use a simple function to learn how to calculate the mean of the data you have collected. If you've arranged your data into a column, go to the following empty cell in that column and enter the AVERAGE function. Now, the AVERAGE function will return the data's mean. The syntax will be as follows:
=AVERAGE(cell range)
Here,
"=" instructs Excel to perform a function.
“AVERAGE” is the function Excel has to perform.
"cell range" is an essential component that specifies the range of cells containing your data, like cells A1 through A64. This may be written as A1:A64 in the function.

Step 3: Calculate the Standard Deviation of Your Dataset
You can find the standard deviation of your data using one of Excel's functions, just like you are able to determine the mean. Once you've entered your data into a column, select an empty cell in the same column and input one of the two standard deviation syntaxes.
Furthermore, you can use the STDEV.P function if your data is representative of a whole population. If your data is a sample from a bigger population, the STDEV.S function can be used.
Notably, you can use the STDEV.S function if you're not certain about the data. The syntax for both functions is as follows:
=STDEV.P (cell range)
=STDEV.S (cell range)
Here,
"=" is an integral part that instructs Excel to run a function.
"STDEV.p" and "STDEV.S" constitute vital components within their respective functions and are the functions that you may ask Excel to execute.
"cell range" refers to the cells that carry your data. C11:C43, for instance, is a cell range in which Excel incorporates cells C11 to C43 in the calculation.

Step 4: Choose a Value for the Distribution
When selecting a value for the distribution, select a number within the data point range. It enables you to calculate how far your chosen variable is from the mean, providing you with a number for your normal distribution. This number might also assist you in deciding what other statistical measures to apply to your data.
Step 5: Use the NORMDIST Function and Fill in the Necessary Details
Select a blank cell in the Excel spreadsheet and start entering the NORM.DIST function. If you perform the instructions before, Excel might try to fill it with values; thus, make sure that every value in the function is correct before allowing Excel to carry out its activities.
Once you've confirmed that it's correct, click Enter to let Excel determine the normal distribution of the data according to the value you specified for x.

Step 6: Save Your Excel Spreadsheet for Future Reference
You can export the Excel spreadsheet once you've determined your value. If you've already saved a sheet, go to the "File" option on the "Home" tab and select the option to "Save." This will create an updated version of your spreadsheet and download it.
Additionally, Ctrl 5 will also help you save the file to the same directory. If you haven't already saved your file, click the "File" option on the "Home" tab and select "Save to" to see where and how your work is saved.

Best Free Alternative to Microsoft Excel - WPS Office
Since we are done learning how to calculate Excel’s normal distribution, Now that we've completed our lessons on calculating Excel's normal distribution, it's time to introduce you to a great alternative to Microsoft Excel - the WPS Office. This software is available as a free download, ensuring that you have cost-effective access to it. Additionally, its seamless compatibility with Microsoft Excel files ensures you can transition to WPS Office without hassle.

we recommend you to download and use WPS Office for several reasons:
1. Price: WPS Office is affordable and won't cost much. You can get many of its valuable features without spending a lot.
2. Compatibility: WPS Office can work well with different types of documents and files. If you need to open or edit documents from other sources, it's a good choice because it can handle them.
3. Features: WPS Office offers many valuable tools and options. It's not just essential; it has many features that can help you with your work, making it a helpful tool.
4. User-friendly Interface: This means the software is easy to use. You don't need to be a computer expert to figure it out. It's designed to be straightforward and user-friendly, making it accessible for everyone.
FAQs
1: How can I generate random data with a Normal Distribution in Excel?
To obtain randomized data with a Microsoft Excel normal distribution, you can use the "NORM.INV(RAND(), mean, standard_deviation)" function for each cell that necessitates data. It is imperative to replace "mean" with the intended average and "standard_deviation" with the desired standard deviation value.
2: How do I create a bell curve graph in Excel?
To generate a bell curve graph in Excel, first enter your data, determine the average and standard deviation, and then utilize a scatter plot to display the curve.
3: What are Z-scores, and how are they used in Excel?
Z-scores are standard deviation measurements of how distant data points are from the mean of a dataset. To measure data point significance and distribution features, use (X - Mean) / Standard Deviation in Excel.
Summary
Excel's normal distribution function is a powerful tool, especially in domains like stock market analysis, where understanding probabilities and distributions is critical. This step-by-step guide empowers users to harness the potential of Excel, helping them calculate probabilities and distributions with confidence.
For those seeking an accessible alternative to Microsoft Excel, WPS Office stands out as an excellent choice. Its user-friendly interface and comprehensive feature set make it a valuable resource for data analysis and various tasks. Whether you're delving into the intricacies of normal distribution or looking for a versatile spreadsheet solution, these tools are your gateway to data-driven success.




